光纤器件测试

概述:

Y型LINbO₃集成光波导因其具有Y形分支结构,可同时实现分光/合光、相位调制及光学起偏,已成为光纤陀螺仪等高性能光学系统的核心芯片。然而,其制备工艺复杂、折射率对比度高的特点,使得波导内部极易残留刻蚀侧壁粗糙、应力诱导双折射等微纳尺度缺陷。这些缺陷会引发异常的背向散射、模态耦合与偏振串扰,在系统运行中逐步劣化插损、消光比等关键指标,最终威胁整机精度与长期可靠性。

测试痛点描述:

在Y型LiNbO₃光波导内反射特性与缺陷测试中,其核心挑战在于:

1)缺陷定位模糊:传统强度型消光比测试方法易受光源稳定性、光路准直性等外部因素干扰,且测试结果混杂了测试器件与尾纤的串扰,难以对波导芯片内部的微小缺陷(如折射率畸变、晶格缺陷)进行精确定位与独立评估。

2)信号解耦与量化困难:波导内部的背向反射、散射与偏振串扰信号相互耦合,现有方法难以从复杂的混合信号中有效解耦并量化单一缺陷(如一个缺陷点的串扰值)对整体性能(如消光比)的具体影响,导致评估模糊。

3)测试效率与一致性挑战:缺乏能够同时实现高空间分辨率(如10μm)、高精度且适用于批量快速测试的方法。现有手段或精度有限,或测试流程复杂,难以满足对芯片内部缺陷、耦合损耗及均匀性进行高效、无损、定量化一致性检测的产业需求。

测试过程:

将Y波导通过保偏光纤与OFDR-H测量仪连接(光路如下图所示),设置空间分辨率为10 μm后启动分布式损耗测量;通过可调谐激光器产生扫频光,并利用仪器采集其背向散射与反射信号,将采集到的信号经变换得到沿光程的幅度分布曲线,从中可直接识别光纤/芯片耦合点及Y波导分束点等特征峰,并通过对比有无色散补偿算法的结果判断耦合质量与内部缺陷。

测试结果:

本案例中,使用OFDR-H光纤分布式损耗测量仪,以10μm空间分辨率,成功分辨了光纤/芯片耦合点、Y波导耦合点的散射峰,获取了高精度的芯片散射特性。各反射位置信息如下图所示:

概述:

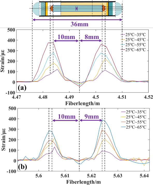
光纤1×3耦合器作为光通信与传感系统的核心无源器件,其性能与长期可靠性至关重要。然而,其主流的熔融拉锥制造工艺在高温熔融、拉伸与冷却过程中,极易在耦合区及锥区引入非均匀的残余应力分布。这些内部应力是导致器件插损、分光比等光学参数随温度与时间漂移的内在根源,并在外部振动或冲击下可能诱发微裂纹扩展乃至器件断裂。传统的集总式光学测试(如光功率、回损测量)仅能评估终端性能,无法无损、高空间分辨率地探测与定位器件内部的应力集中区域及由应力诱发的微观缺陷(如胶层不均匀、界面脱粘)。

光纤耦合器用于将光信号从一个光纤耦合到另一个光纤上,实现不同部分之间的光信号传输和连接。 光纤耦合器的主要作用是提供可靠的光信号连接、保证光纤传输的高质量和稳定性。为了保证耦合器性能达标,传统方法通过光功率计,测量温变下耦合器的光功率变化,来评价光纤耦合器的好坏。其只能识别耦合器整体是否故障,无法定位故障所在光纤位置。

本案例中,使用OFDS-H光纤分布式传感解调仪,借助温箱改变温度,对合格耦合器(a)和不合格1×3耦合器(b)进行激励。可定量观察到两者应变的差异,从而定位耦合器内部缺陷发生的位置。

将应变结果与耦合器结构对照,可确认该耦合器分光比随温度波动大的问题,是由于粘胶过量导致的。

背景:

高精度通信光器件(如激光器、调制器、高速光模块)凭借其高速率、低功耗与高集成度,已成为5G/6G通信、数据中心及人工智能算力网络的核心基石。然而,其制造涉及微纳加工、亚微米级光学对准及复杂封装工艺,极易在耦合界面、波导或焊点处引入难以察觉的初始缺陷(如对准偏差、材料不均匀、残余应力)。在长期严苛的服役环境(如温度循环、机械振动、高功率负载)下,这些缺陷会诱发性能漂移、信号劣化乃至突发性失效,直接威胁整个通信系统的稳定性与寿命。

光器件(Optical device)分为有源器件和无源器件,光有源器件是光通信系统中需要外加能源驱动工作的可以将电信号转换成光信号或将光信号转换成电信号的光电子器件,是光传输系统的心脏。光无源器件是不需要外加能源驱动工作的光电子器件。这里通过自研OFDR机箱,成功实现对通信光器件的测试。

如图所示,散射空间分辨率为50um,应变空间分辨率为1mm,能成功反映光器件内部的信息。作为评价手段辅助上游企业的生产,提供工艺优化建议。

滚动至顶部